激光觸發真空開關(Laser Triggered Vacuum Switch,LTVS)是一種新型脈沖功率閉合開關。其通過真空開關與脈沖激光技術發展而來,利用脈沖激光照射并燒蝕觸發材料,產生大量初始等離子體,使真空間隙快速閉合[1-5]。因其具有觸發時延短、導通波形抖動低、通流容量大、使用壽命長等優勢,LTVS在脈沖激光器、電磁發射系統、直流斷路器、直線變壓驅動裝置等大電流快速關合領域已展現出極佳的發展前景[6-9]。
自1973年MakarevichAA等[10]采用脈沖激光觸發真空間隙,證明LTVS具有優良的通流能力以來,學界針對LTVS的性能提升及觸發機理開展了大量研究。1988年美國Sandia實驗室的BrannonPJ等[11]研究發現以Ti和KCl混合物作為靶材,LTVS的觸發時延低于100ns,且認為激光對靶材料的熱效應是間隙內初始等離子體產生的原因,電弧的穩定燃燒則依賴間隙內的離子再生。大連理工大學趙巖等[12]對LTVS時延特性進行研究,發現激光能量的增加和激光波長的減小會縮短LTVS的觸發時延,增加間隙距離則會一定程度上延長LTVS的觸發延時。2015年起,華中科技大學何正浩等[13-14]研究了多棒型LTVS的導通過程,認為初始等離子體的擴散主要依賴速度更快的自由電子遷移,使開關獲得更短的延遲時間且觸發穩定性更高。大連理工大學趙通等[15]發現,LTVS開斷高頻電流的能力受到電弧對觸發材料燒蝕作用的影響。
由上述分析可見,此前關于LTVS的研究主要針對其時延特性、高頻開斷能力等性能的提升,而LTVS放電時間隙內真空電弧的發展、擴散過程對其時延特性、通流容量、高頻開斷能力和使用壽命等諸多關鍵參數影響顯著,先前研究并沒有提到。對于真空電弧發展擴散的研究則主要關注工頻條件下真空斷路器內電弧的發展。針對脈沖真空電弧擴散過程及影響因素的研究相對較少。如西安交通大學王立軍等[16]發現,隨著電流幅值和間隙距離的增加,工頻真空電弧的弧柱收縮被增強,影響真空斷路器的電流開斷能力。與斷路器內因觸點分離而被引燃的工頻真空電弧不同,LTVS的放電依賴激光與觸發材料的相互作用,且放電時間通常在微秒或納秒量級,通流時間短,電弧燃燒過程易受熔沸點較低的觸發材料影響。
為探明LTVS脈沖放電時間隙內真空電弧的擴散過程及觸發材料對開關性能的影響機制,本文基于可拆真空腔體搭建實驗平臺,結合電弧圖像拍攝、燃弧數值模擬,研究了觸發材料對真空電弧發展擴散過程,以及對開關觸發時延、電流開斷能力等關鍵特性的影響,根據試驗結果給出參數優化建議。
1、實驗平臺搭建
1.1LTVS放電試驗平臺
LTVS放電的實驗電路如圖1所示,由激光觸發系統、RC放電電路和基于可拆真空腔體的LTVS樣機組成。

激光觸發系統采用Nd:YAG激光器產生波長1064nm,脈寬10ns的脈沖激光。激光束通過全反鏡、分光鏡和聚焦鏡片后,聚焦在觸發材料表面,材料表面光斑面積1.1mm2。激光信號由光電探頭檢測。RC放電電路中,脈沖電容C0為8.9μF,電路電阻RL為11.85Ω,電橋測得電路的雜散電感Ld為4.8μH。
LTVS的電壓由高壓探頭(TeKP6015A)測量。脈沖電流探頭Ct由TeKCT-4和TCP202A組成。高速相機的采樣幀率最大為100000fps,曝光時間可據試驗要求調整。觸發控制器分別控制激光頭和高速攝像機的動作。
LTVS腔體內真空度由抽氣系統維持在2×10-5Pa以下。設置LTVS為正極性工作方式。腔體內電極為縱磁杯狀電極,表面材料為CuCr50合金,電極直徑為58mm。電極間距設為8mm。根據前人研究,觸發材料選用目前常用的Ti與KCl的混合物,1:1混合后壓制成錐狀結構,填充于陰極中心的5mm凹槽內。設置錐型靶材頂部與陰極表面之間距離為1mm,以減少電弧燒蝕對材料的影響。
1.2LTVS的放電波形
工作電壓4.4kV,LTVS的放電波形如圖2所示。設置作用于觸發材料表面的激光能量為25mJ。激光作用后68ns,LTVS上的電壓開始下降,表明此時間隙內建立了起始放電通道,LTVS被觸發。此前研究通常定義LTVS的觸發時延為激光信號開始上升到工作電壓開始下降的時間[17]。激光作用約5μs后,經LTVS傳輸的脈沖電流達到峰值230A。隨后,電流受回路參數影響,逐漸衰減至零。
2、LTVS放電過程分析
采用高速攝像機拍攝的LTVS放電過程中真空電弧圖像如圖3所示。結合圖2可知,LTVS被觸發后,間隙內放電光斑亮度隨著電流的上升快速增加,后隨電流的下降逐漸衰減。激光照射145μs后,電流降至100A以下,電弧弧柱開始斷裂。LTVS在360μs左右完成電流開斷,電弧熄滅。


隨后利用matlab對電弧圖像進行分析,計算了真空電弧面積和周長隨時間的變化。計算原理如下:將電弧圖像分為若干像素點,用二值法將白色像素記為1,黑色像素記為0,電弧周長和面積為白色區域的周長和面積。標定一個白色像素點為一個小正方形,換算后一個像素點面積為0.07mm2,邊長為0.2646mm,如圖4所示。計算所得面積周長曲線如圖5所示。根據電弧圖像和計算的電弧面積和周長,可將燃弧過程分為三個階段:觸發階段(圖3(a)~圖3(d))、擴散階段(圖3(e)~圖3(h))和熄弧階段(圖3(i)~圖3(l))。

觸發階段,激光與觸發材料相互作用釋放初始等離子體,初始等離子體不斷與觸發材料及真空電極發生碰撞,并在電離能/逸出功較低的觸發材料表面形成初始放電通道,開始傳輸電荷,如圖3(a)中材料表面放電光斑所示。隨著間隙傳輸電流的增加,在電極表面熱作用和間隙鞘層電場作用下,更多帶電微粒進入真空間隙,電弧等離子體與電極表面和觸發材料的碰撞作用被加強,初始放電通道逐漸演變為真空電弧,間隙內電弧通道的亮度、面積和周長急劇增大(如圖3(b)~圖3(d)以及圖5紅框所示)。電弧擴散期間,真空電弧擴散主要受觸發材料釋放微粒和間隙電磁場的影響。由于觸發材料的電離能/逸出功較低,觸發材料更容易在等離子體的碰撞作用下發生電離,釋放新的帶電微粒進入間隙。因此圖3中電弧主要集中在觸發材料表面。電流達到峰值時,圖3(e)中的真空電弧的面積和周長最大,亮度也最高。隨后LTVS上的電流逐漸減小,間隙內注入等離子體的密度也逐漸下降,碰撞電離的作用相應降低,圖3(f)至圖3(h)中真空電弧的亮度、面積和周長逐漸減小(如圖5藍框)。隨著電流的減小,等離子體發生碰撞引起電離的概率進一步降低,與電極表面碰撞引起電離的幾率更低,電弧的面積和周長逐漸減小(如圖5綠框)。此時,間隙內碰撞電離主要發生在觸發材料與陰極交界面附近的電場不均勻區域。因此圖3(i)至圖3(l)中電弧弧柱斷裂后,電弧主要位于觸發材料與陰極凹槽的交界位置。

3、觸發材料對LTVS觸發與燃弧過程的影響
由上述分析可知,觸發材料在LTVS的放電過程中不斷向間隙釋放帶電微粒,影響放電通道的擴散并造成其工作性能差異。
3.1觸發材料對LTVS時延特性的影響分析
LTVS的快速觸發主要依賴激光與觸發材料的相互作用,Ti與KCl的混合材料主要由Ti吸收激光能量,使KCl熔融、氣化并被電離產生大量初始等離子體以建立放電通道。采用高速相機拍攝得到LTVS初始等離子體的擴散形態如圖6所示。在激光熱作用與光致級聯電離電離作用下,初始等離子體呈擴散狀離開材料表面,激光與材料發生作用區域附近的等離子體密度最高,光斑亮度也最大[17-18]。

根據此前研究,LTVS的觸發時延受觸發材料的影響顯著。改變觸發材料種類、混合材料比例、靶材結構、材料深度等參數都會對LTVS的觸發時延造成不同程度的影響[19]。根據圖6等離子體圖像,可描述正極性LTVS內初始等離子體的擴散形態如圖7所示。受間隙電場影響,擴散至間隙的初始等離子體成分以質量輕、速度快的自由電子為主,向陽極運動的Cl-速度較慢;Ti+和K+逸出材料表面后被電場減速,向陰極運動。因此,相較于負極性間隙,正極性LTVS可獲得更短的觸發時延。

此外,觸發材料種類或混合材料的比例改變時,進入間隙的初始等離子體成分或比例被改變,導致開關觸發時延的變化。靶材結構變化主要影響材料對激光能量的吸收效果,而靶材深度的變化改變了初始等離子體的擴散距離,影響LTVS的觸發時延。當Ti與KCl混合比例為1:1時,觸發時延在100ns以內,雖然比高Ti含量下觸發時延要高,但其在納秒級別的時延已經滿足實驗要求,且開斷電流能力比較穩定,靶材使用壽命較長。相關參數對觸發時延的影響規律此前已有詳細研究[20-21],本文不再贅述。
3.2LTVS內電弧發展過程仿真
電微粒,從而成為真空間隙內主要的等離子體源之一,如圖3所示。為更深入地分析燃弧階段觸發材料對電弧擴散的影響,本文建立了LTVS內真空電弧的MHD模型,對等離子體的時空分布特性進行模擬。
3.2.1仿真模型介紹
LTVS內真空電弧仿真模型基于磁流體動力學理論構建。模型將真空電弧視為導電流體,建立的的MHD模型包括電、磁、流體等物理場,結合電子與離子的質量守恒、動量守恒、能量守恒等相關方程,對燃弧過程進行分析。模型是高度非線性的方程組,需要用數值求解方法進行求解,利用COMSOL多物理場仿真軟件對燃弧階段真空電弧等離子體的擴散和分布特性進行計算,有效的解決了復雜的計算過程。

公式(1)、(2)分別表示電子和離子的質量守恒方程。其中,電子、離子質量密度由ρe和ρi表示,ρe=neme,ρi=nimi;電子、離子的質量分別為me和mi,電子速度為v,離子速度為u。

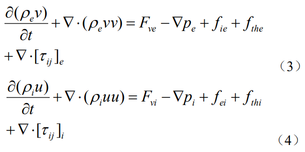
公式(3)、(4)分別表示電子和離子的動量守恒方程。其中,電子、離子的體積力為Fve和Fvi,電子和離子壓力梯度為▽Pe和▽Pi,電子離子相對運動產生的摩擦力為fie和fei,電子離子之間的熱力為fth和fthi,粘性應力用▽﹒[τij]e和▽﹒[τij]i表示。

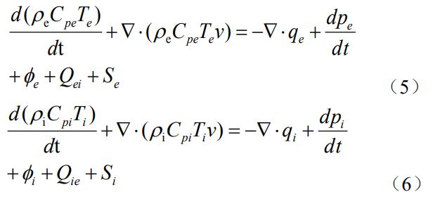
公式(5)、(6)分別表示電子和離子的能量守恒方程。其中,電子等壓比熱為Cpe=5k/2me,離子等壓比熱為Cpi=5k/2mi,k代表Boltzmann常數,電子和離子的溫度為Te和Ti,電子離子的熱流密度分別為qe和qi,電子離子的粘性耗散功分別為Фe和Фi,電子與離子碰撞損失的能量為Qei,離子吸收的能量為Qie,電子與離子的熱項分別為Se、Si。
此外,該電弧模型基于以下假設:(1)認為該模型滿足等離子體的準電中性條件,用宏觀流體力學描述等離子體流動。(2)認為間隙內等離子體處于完全電離狀態。(3)認為陰極和觸發材料是間隙等離子體產生的唯一來源。(4)認為電子和離子形態為完全氣體。
3.2.2仿真設置條件
模型的網格剖分如圖8所示,電極材料選取CuCr50合金,電極半徑為29mm,間隙距離設為8mm,觸發材料為半徑2.5mm的圓柱狀結構,靶材頂部比陰極表面低1mm。結合此前實驗觸發過程分析,電弧電流峰值為230A,由于電弧電流較小,等離子體速度約為1×104m/s,電弧屬于超音速流動。對于熱傳導模塊,在陰極側設置了狄利克雷邊界條件,在陽極設置了電子熱流密度,側面則為絕熱條件。在初始條件中,陰極邊界電子溫度設為1.5eV,環境溫度設為0.026eV。對于流體動力學模塊,初始條件中陰極邊界離子速率設為1×104m/s,陰極邊界離子溫度設為0.3eV。

3.2.3仿真適用條件
本文的仿真為超音速或亞音速真空電弧燃弧階段的模型。模型中流體動力學模塊計算對象為離子,描述的是離子質量、動量、能量守恒;傳熱模塊計算對象為電子,描述的是電子能量守恒。仿真模型適用于壓力范圍在10-4-10-7Pa之間的高真空環境。在這個范圍內,氣體分子之間碰撞相對較少,電弧主要由電子、離子與電極表面的相互作用主導,符合模型的物理假設。當壓力超出范圍時,氣體分子對電弧的影響逐漸增大,模型的準確性會降低。模型只適用于常見的金屬電極材料,如銅、鎢及其合金,對于一些特殊的新型材料或復合材料,超出了模型的適用范圍。
3.2.4仿真結果分析
LTVS被觸發后5μs,即電流達到峰值時刻間隙內電子和離子的溫度與密度分布如圖9所示。電流230A時,間隙內等離子體呈擴散形態分布,觸發材料表面區域的自由電子密度最高,達到3.96×1022m-3,溫度可達17387K,表明電弧等離子體與觸發材料的碰撞電離程度最劇烈。仿真規律與電弧圖像的分布情況相吻合。

為便于后續分析,將間隙燃弧區域劃分為5個區域,其中a為近陽極區,b為陽極中心區,c為間隙中心區,d為陰極中心區,e為近陰極區。改變仿真模型中電流幅值,得到燃弧期間不同區域的電子密度變化如圖10所示。可見間隙內自由電子密度與電流幅值成正相關。燃弧期間由于電弧的熱燒蝕作用,熔沸點更低的Ti+KCl混合物相較于銅電極來說,更容易釋放粒子到間隙中,作為主要的等離子體源,有利于在間隙建立更強的放電通道,影響間隙的電流傳輸過程,即影響開關的放電功率。本文實驗結果與文獻[22]的研究結論基本一致。

本文對真空電弧燃弧階段進行了實驗與仿真方面的分析,但二者之間存在一定的誤差。實驗方面,由于相機幀率為100000fps,因此在燃弧階段拍攝的電弧圖像為電弧發展10μs內累加的結果,而仿真模型是在一定假設條件下建立的具體某一時刻的燃弧圖像。但仿真結果與實驗結果電弧圖像較吻合,故可以近似認為兩者是一個條件下的燃弧過程,可以用仿真結果對燃弧過程進行微觀分析。
4、觸發材料對真空間隙電弧熄滅過程的影響分析
由于觸發材料密度相對較低,且其逸出功/電離能均低于致密的電極表面材料CuCr50。電弧熄滅階段,間隙內密度較低的電弧等離子體仍會與觸發材料發生碰撞,電離產生新的帶電微粒進入間隙,影響LTVS的電弧熄滅過程,降低LTVS的電流開斷能力。這也是觸發間隙內電弧與真空斷路器內電弧的主要區別之一。LTVS工作電壓3.9kV,峰值電流180A時,在熄弧階段觀察到明顯的觸發材料釋放微粒進入間隙的過程,拍攝圖像如圖11所示。

在圖10仿真結果中,出現在150μs-200μs時間隙內電子密度隨電流的減小而增大的趨勢,本文認為這是由于觸發材料受電弧熱燒蝕影響,向間隙釋放帶電粒子,影響間隙內電弧的熄滅過程和開關的電流開斷能力。圖10仿真結果也可說明圖11實驗觀察到的弧后靶材微粒逸出的過程,亦可解釋文[23]中不同觸發材料LTVS高頻開斷能力出現差異的原因。
作為對比,本文調整觸發開關樣機的觸發方式,以Al2O3陶瓷為閃絡材料,對比沿面閃絡的電觸發真空開關在相近條件下,開斷電流時的情況。拍攝得到的電弧圖像如圖12所示。可見隨著電流的衰減,間隙內真空電弧逐漸熄滅,Al2O3陶瓷并未受電弧燒蝕影響向間隙釋放帶電微粒,影響間隙的電流開斷能力。

由圖11與圖12結果對比分析可知,熄弧階段LTVS內真空電弧對觸發材料熱作用釋放的帶電粒子,會在一定程度上影響間隙的電流開斷能力。因此,設計用于高頻開斷場合的LTVS時,應調整開關的觸發材料種類或混合比例,以提升其電流開斷能力。
5、結論
本文結合仿真與實驗研究,分析了觸發材料對LTVS內電弧擴散過程和關鍵工作參數的影響,可以得到以下結論:
與真空斷路器內電弧擴散不同,LTVS內真空電弧擴散受觸發材料的影響。激光作用于觸發材料,產生并快速向間隙內輸送大量初始等離子體,加速間隙觸發;燃弧期間電弧對觸發材料的燒蝕作用會在觸發材料表面形成放電斑點,向間隙釋放更多帶電微粒,有利于建立有效的放電通道,提升LTVS的放電功率;觸發材料在熄弧階段受電弧熱作用向間隙釋放帶電微粒,會在一定程度上影響開關的高頻電流開斷能力。建議根據LTVS應用需求,合理調整其觸發材料以提升其關鍵性能。
參考文獻
[1] Zhang H B. Research on recovery characteristics of natural medium of laser triggered
vacuum switch[D]. Dalian: Dalian University of Technology, 2021
(張虎波. 激光觸 發真空開關固有介質恢復特性研究[D]. 大連:大連理工 大學, 2021 (in Chinese))
[2] Sun Y F, Lu G, Meng Q X, et al. Structure design of a 300kV laser triggered multistage vacuum switch[J]. Vacuum Electronics, 2023,(5):43–49
(孫一帆, 盧剛, 孟慶鑫, 等. 300 kV 激光觸發多級真空開關結構設計[J]. 真空電子 技術, 2023,
(5):43-49 https://doi.org/10.16540/j.cnki.cn11- 2485/tn.2023.05.06 (in Chinese))
[3] Mao X P, et al. Research on the timedelay characteristics of the laser-triggered vacuum switch[J]. IEEE Transactions on Plasma Science, 2015, 43(6):2005 – 2010.
https://doi.org/10.1109/TPS.2015.2409196
[4] Sun Y J. Research on switching characteristics of lasertriggered vacuum switch under
magnetic field control[D]. Dalian: Dalian University of Technology, 2022
(孫依杰. 磁場調控下激光觸發真空開關開斷特性研究[D]. 大連:大連理工大學, 2022 (in Chinese))
[5] Anderson R A, Brainard J P. Mechanism of pulsed surface flashover involving electron
stimulated desorption[J]. Appl Phys, 1980, 51(3): 1414 – 1421.
https://doi.org/10.1063/1.327839
[6] Wang J M, Yuan S. Theory of large capacity vacuum switch and its product development[M].Xi 'an: Xi 'an Jiao tong University Press, 2001
(王季梅, 苑舜. 大容量真空開關 理論及其產品開發[M]. 西安: 西安交通大學出版社, 2001 (in
Chinese))
[7] Fan W F, He Z H, Wang Y, et al. Experiment research on the trigger characteristics of a laser-triggered vacuum switch[J]. Proceedings of The CSEE, 2015, 35(20):5360-5366.
(樊文 芳, 何正浩, 王英, 等. 一種激光觸發真空開關的觸發 特性研究[J]. 中國電機工程學報, 2015,35(20):5360- 5366. https://doi.org/10.13334/j.0258- 8013.pcsee.2015.20.030 (in Chinese))
[8] Xin Y, He Z, Liu Y, et al. The effect of laser wavelength on the delay time of laser triggered vacuum switch[J]. Review of Scientific Instruments, 2017, 88(11):114706 https://doi.org/10.1063/1.4998309
[9] Chen Z Q, Liao M F, Duan X, et al. Investigations on trigger process of triplegap laser triggered multistage vacuum switch[J]. Vacuum, 2024, 227, 113467.
https://doi.org/10.1016/j.vacuum.2024.113467
[10] Makarevich A A, Rodichkin V. A vacuum spark gap with laser firing[J]. Instruments and Experimental Techniques, 1973, 16(1-6): 1716-1717
[11] Brannon P J, Cowgill D F. Low jitter laser triggered vacuum switch using a composite target[J]. IEEE Transactions on Plasma Science, 1988, 16(2):325 – 327.
https://doi.org/10.1109/27.3833.
[12] Zhao Y, Duan X Y, Liao M F, et al. Delay characteristic optimization of laser triggered vacuum switch[J]. High Voltage Technology, 2019, 45(12): 3949-3953
(趙巖, 段雄 英, 廖敏夫, 等. 激光觸發真空開關時延特性優化[J]. 高電壓技術, 2019, 45(12):3949-3953 (in C-hinese))
[13] He Z H, Wei L C, Mao X P, et al. Research on polarity configuration characteristics of laser-triggered vacuum switch[J]. Transactions of China Electrotechnical Society, 2015, 30(14): 2-5
(何正浩, 魏良才, 毛曉坡, 等. 激光觸 發真空開關極性配置特性的研究[J]. 電工技術學報, 2015, 30
(14):2-5. https://doi.org/10.19595/j.cnki.1000- 6753.tces.2015.14.029 (in Chinese))
[14] Mao X P, He Z H, Wang Y, et al. Research on the interaction of primary plasma and main electrode for laser triggered vacuum switch[J]. IEEE Transactions on Plasma Science, 2014, 42(11):3592 – 3597. https://doi.org/10.1109/TPS.2014.2362612
[15] Zhao T, Liao M F, Chen Z Q, et al. Research on trigger mechanism of vacuum switch triggered by laser with different polarity[J]. Journal of Electrical Technology, 2020, 35(15):3341-3347
(趙通, 廖敏夫, 陳占清, 等. 不同極 性激光觸發真空開關觸發機制研究[J]. 電工技術學報. 2020, 35 (15):3341-3347. https://doi.org/10.19595/j.cnki.1000-6753.tces.190842. (in Chinese))
[16] Wang L J, Jia S L, Shi Z Q, et al. Research on magnetohydrodynamic model and simulation of vacuum arc[J]. Proceedings of The CSEE, 2005, 25(4): 2-4
(王立軍,賈申利, 史宗謙, 等. 真空電弧磁流體動力學模型與仿 真研究 [J]. 中國電機工程學報 , 2005,25(4):2-4. https://doi.org/10.13334/j.0258-8013.pcsee.2005.04.021 (in Chinese))
[17] Chen Z Q. Study on laser triggered series vacuum gap delay characteristics[D]. Dalian:Dalian University of Technology, 2021
(陳占清. 激光觸發串聯真空間隙時延特性研究[D]. 大連:大連理工大學, 2021 (in Chin-ese))
[18] Fan W F. Design and research on the triggering mechanism of laser triggered vacuum switch[D]. Hubei: Huazhong University of Science and Technology, 2016.
(樊文芳. 激 光觸發真空開關的設計及觸發機理研究[D]. 湖北:華中 科技大學, 2016 (in Chinese))
[19] Yin Y, Yang J, Zhong H H, et al. Laser trigger switch trigger delay and jitter characteristics[J]. High Voltage Technology, 2014, 40(1): 194-200
(殷毅, 楊杰, 鐘輝煌, 等. 激光觸 發開關觸發延時及抖動特性[J]. 高電壓技術, 2014, 40(1):194-200.https://doi.org/10.13336/j.1003- 6520.hve.2014.01.028 (in Chinese))
[20] Zheng C Y. Effects of laser target materials for performance of the laser triggered vacuum switch[D]. Dalia-n: Dalian University of Technology, 2017
(鄭春陽. 靶材對激光觸 發真空開關工作性能的影響研究[D]. 大連:大連理工大 學, 2017 (in Chinese))
[21] He W L. Research on triggered characteristics of ltvs with different mixed target materials[D]. Dalian: Dalian University of Technology, 2019.
(賀偉亮. 不同靶材對LTVS 觸發機制的影響研究[D]. 大連: 大連理工大學, 2019 (in Chinese))
[22] Lu G, Liao M F, Zhang M, et al. Experimental study on the initial current characteristics of lasertriggered vacuum switch during trigger process[J]. IEEE Transa-ctions on Dielectrics and Electrical Insulation, 2023, 30(4):1844–1849.https://doi.org/10.1109/TDEI.2023.3258406
[23] Liao M F, Fan Z X, Chen Z Q, et al. Influence of electrode configurations on the interruption capacity of laser triggered vacuum switch[J]. IEEE Transactions on Plasma Science, 2020, 48(6):2180 – 2186. https://doi.org/10.1109/TPS.2020.2986780
相關鏈接