引言
鈦合金作為一種具有比強度、比剛度高,耐熱性好的金屬材料,并且其抗疲勞、抗腐蝕能力出眾,工作溫度范圍寬,在航空航天、醫療、船舶、軍工等領域得到廣泛關注與應用[1,2]。然而,從加工制造角度來看,鈦合金具有導熱系數小、比熱小、彈性模量低、化學活性很強等特點,因此,其加工困難,從而使其成為國內外學者研究的熱點。解決鈦合金加工中的上述問題,關鍵在于研究鈦合金的切削機理以及切削參數的合理選擇[3]。銑削力和材料去除率是材料銑削加工過程中重要的物理量,對加工零件的加工效率、加工質量及加工能耗產生很大的影響。于是,以最小銑削力、最大材料去除率為目標,進行參數的合理選擇。然而,材料去除率與銑削力互相矛盾,一方最優將會導致另一方做出妥協,為解決這一問題,需進行多目標優化,以獲得目標函數的最佳適應值[4]。目前,國內外眾多學者對鈦合金材料進行了一系列研究。Zhu等[5]針對小型CBN磨頭磨削鈦合金建立了磨削力數值預測模型,以便對工藝參數進行優化。Wu等[6]以航空發動機TC4鈦合金整體葉盤葉片為研究對象,研究了整體葉盤葉片表面波紋度的形成機理和優化方法。Shen等[7]對鈦合金表面變質層進行銑削研究,分析了表面變質層的形成機理,得出了各參數對表面粗糙度和殘余應力的影響規律,并建立了預測模型。根據TC4高速切削中銑削力的方差分析和回歸模型,Ngoc等[8]指出進給速度和軸向切深是影響銑削力的最重要因素。基于Box-Behnken設計實驗,Karkalos等[9]指出進給速度對表面粗糙度的影響起著主導作用。近年來,切削參數優化受到了廣泛的關注并被大量研究。易茜等[10]利用多目標水循環算法實現加工變形和加工效率的調節最優。Monir等[11]基于回歸和遺傳算法對126BHN低合金鋼進行切削參數優化,得到最佳表面粗糙度。Ven‐katesh等[12]利用響應面法設計實驗建立目標函數,采用遺傳算法、模擬退火算法和神經網絡算法進行優化,對預測值進行分析比較,得到最優值。
Ojordje等[13]基于遺傳算法對AISI1040鋼進行干式車削,以最小化表面磨損、最小化表面粗糙度和最大化材料去除率為目標,進行多目標優化,通過改變遺傳算法的參數來獲得目標函數的最優值。本文以銑削參數(銑削速度vc、每齒進給量fz、銑削深度ap和銑削寬度ae)為變量,選用L16(45)正交表,設計四因素四水平正交實驗。基于極差分析,找出銑削參數對銑削力和材料去除率的影響規律。以最小銑削力、最大材料去除率為目標,分別以灰色關聯分析法(GRA)和粒子群優化(PSO)算法進行參數優化,對比分析得到最優值。在PSO優化前,基于回歸分析建立銑削力與銑削參數的二階多項式數學模型,為PSO優化模型做準備。最后,對優化結果進行實驗驗證與比較,選擇最佳優化方法。
1、實驗條件和方法
1.1 實驗條件
實驗以鈦合金Ti-6Al-4V(TC4)薄壁件為研究對象,其中薄壁件大小為50mm×50mm×5mm,鈦合金的化學成分如表1所示。通過專用夾具,把工件的一端固定在工作臺,刀具按照預先設定的參數在工件的另一端運行加工。

銑削實驗現場如圖1所示。實驗設備采用大連三壘SVW80C-3D增減材復合五軸加工中心,加工刀具選擇YG8-4B-R3.0四刃硬質合金球頭銑刀,加工過程產生的銑削力由Kistler三向銑削測力儀進行采集。

1.2 實驗方法
為探究銑削加工參數對銑削力以及材料去除率的影響規律并尋求最佳參數組合,基于正交實驗方法設計實驗,加工方式采用側銑(順銑)、干潤滑。本實驗選用L16(45)正交表,設計四因素四水平正交實驗,銑削加工參數分別為:銑削速度vc(mmin)、每齒進給量fz(mmz)、銑削深度ap(mm)和銑削寬度ae(mm)。
表2為實驗因素水平。

2、實驗結果及討論
2.1 數據處理
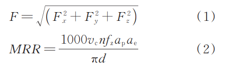
為了得到科學觀測值,在測力儀采集的數據中,取相對平緩穩定位置數據的均值分別作為X、Y和Z方向的銑削力數值。根據式(1)和(2)分別求出合力F和材料去除率MRR。得到最終實驗結果,如表3所示。


式中:Fx為x方向的銑削分力;Fy為y方向的銑削分力;Fz為z方向的銑削分力;d為銑刀直徑,本實驗d取6mm;n為銑刀刃數,本實驗n取4。
2.2 銑削合力F
采用極差分析法處理數據,來判斷銑削參數對銑削合力F的影響程度。表4為合力F的極差分析結果,圖2為各銑削參數對F的影響。根據結果分析可知,銑削速度vc對銑削合力F的影響呈負相關,每齒進給量fz、銑削深度ap和銑削寬度ae對銑削合力F的影響呈正相關,影響程度大小依次為銑削深度ap、每齒進給量fz、銑削寬度ae、銑削速度vc。

2.3 材料去除率MRR

同樣采用極差分析法進行數據處理,來判斷銑削參數對材料去除率MRR的影響程度。表5為材料去除率MRR的極差分析結果,圖3為各銑削參數對材料去除率MRR的影響。

根據結果分析可知,材料去除率MRR隨著每齒進給量fz、銑削深度ap和銑削寬度ae的增大而增大;對于銑削速度vc,材料去除率MRR先隨其增大而減小,后隨其增大而增大。銑削參數對材料去除率MRR的影響程度大小依次為銑削寬度ae、銑削深度ap、每齒進給量fz、銑削速度vc。
3、銑削參數優化
3.1 基于灰色關聯分析的參數優化
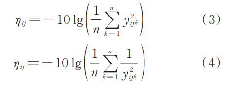
3.1.1 灰色關聯分析(GRA) 本文以合力F和材料去除率MRR為響應量進行優化研究,屬于多目標優化問題。為了解決多目標優化的復雜性問題,利用灰色關聯分析(GRA)的方法,將多目標優化轉化為單目標優化[14-17]。如圖4所示,灰色關聯分析的步驟如下:步驟1:計算信噪比信噪比(S/N)是獲得最佳因子水平最合適的方法。假設ηij為第i次實驗第j個響應的信噪比;
yijk為第i次實驗第j個響應在第k次重復實驗下的實驗數值;n為重復實驗的次數,則信噪比的計算公式如下所示:

式(3)適用于“越小越好”的響應,而式(4)適用于“越大越好”的響應。對于銑削力而言,銑削力越小越好,故選用“越小越好”響應,即式(3);另一方面,針對材料去除率,材料去除率越高,性能越好,于是選擇式(4)。步驟2:數據歸一化對每個響應的實驗數據進行歸一化處理,使其介于0和1之間,以降低可變性,此過程也稱為灰色關聯生成。
式中:

x*i(k)為歸一化數值,x0i(k)為原始的實驗數據;maxx0i(k)為第i個數列中所有實驗的最高水平;minx0i(k)為第i個數列中所有實驗的最低水平。對于銑削力選用式(6),即“越小越好”響應;對于材料去除率選用式(5),即“越大越好”響應。步驟3:計算灰色關聯系數(GRC)將數據歸一化后,計算灰色關聯系數:
式中:

γi(k)為灰色關聯系數;ζ為分辨系數,其作用在于提高關聯系數之間的差異顯著性,ζ∈[0,1],通常ζ取0.5;Δ0i(k)為參考序列(x*0(k)=1)和比較序列(x*
i(k))的差值,信噪比、歸一化、GRC的數據處理結果如表6所示。步驟4:計算加權灰色關聯度(WGRG) 通過取每個性能特征的灰色關聯系數的平均值來計算灰色關聯度(GRG),數學表達式如下:

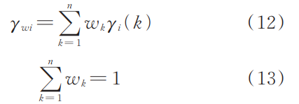
式中:γi為第i次實驗的灰色關聯度;n為響應量的數量。在實際的工程應用中,每個響應的重要性是不同的。為了研究每個響應的影響,需對其分配權重因子。則加權灰色關聯度(WGRG)數學表達式如式(12)所示:

式中:γwi為加權灰色關聯度;wk為每個響應量的權重因子。

式中:Rij為灰色關聯系數極差;n、m分別為響應量數目、銑削參數數目。在本研究中,根據實驗設計,n、m分別取2、4。

表7為各個水平灰色關聯系數的均值。根據所得到的權重系數,可得加權灰色關聯度公式如下:

式中:WGRG為加權灰色關聯度;GRCF和GRCMRR分別為銑削力和材料去除率的灰色關聯系數。響應的加權灰色關聯度值如表8所示,根據加權灰色關聯度可知,第4組銑削參數優良。


3.1.2 基于GRA參數優化

通過上述4個步驟,將多目標問題轉化為單目標問題。通過極差法衡量加權灰色關聯度值,確定最佳切削參數水平,如表9、圖5所示。

從表9、圖5可知,對銑削力和材料去除率的組合影響大小依次是銑削深度ap、每齒進給量fz、銑削寬度ae、銑削速度vc。WGRG隨著每齒進給量fz、銑削深度ap和銑削寬度ae的增大而增大;對于銑削速度vc,先隨其增大而減小,后隨其增大而增大。于是根據正交實驗和灰色關聯度,可得到該實驗的最優解,最優解結果為A1B4C4D4,即vc=60mmin、fz=0.04mmz、ap=10mm、ae=1mm,恰好是第4組實驗,其WGRG為1。
3.2 基于粒子群優化(PSO)算法的參數優化
3.2.1 建立銑削力預測模型 為研究智能算法參數優化問題,首先需建立銑削力與銑削參數之間的關系的數學模型。采用逐步回歸方法建立二階多項式數學模型[6],數學表達式如式(16)所示:

式中:y?為銑削力的預測值;β為數學模型的系數;第二項為線性效應;第三項表示交互性效應;最后一項表示二次效應。利用Python對實驗數據進行回歸分析,得到銑削力與銑削參數之間的關系的數學模型,如式(17)所示:

建模完成后,運用IBMSPSSStatistics軟件對其進行F檢驗。銑削力的預測值與實驗值對比如圖6所示,從圖6中可以看出,銑削力的預測值與實驗值非常接近,并且平均誤差為3.75%,最大誤差為10.2%,表明預測值與實驗值之間無顯著差異。銑削力F預測模型的方差分析(ANO‐VA)結果如表10所示,取α=0.05,查表可知,臨界值Fα(13,2)=19.419,表10中F遠大于臨界值19.419,說明回歸方程顯著。圖7為回歸標準化殘差的正態P-P圖,從圖可以看出,實驗點圍繞45°直線均勻隨機分布,無異常點出現,說明預測模型良好。因此,該回歸數學模型可以作為銑削力的預測模型。



3.2.2 基于PSO參數優化
根據前文理論分析,要使優化目標達到最優,即銑削力最小和材料去除率最高,需建立一個優化模型,如式(18)所示:

利用線性加權方法,將多目標優化轉為單目標優化,使銑削力及材料去除率均可達到相對最優的參數組合。設ω1、ω2為加權因子,且ω1+ω2=1,本文ω1、ω2分別取0.47和0.53,優化模型如式(19)所示:

通過Python編寫PSO算法程序(見圖8)對優化模型進行優化,得到最優解gBest=-5331.2516,且此時最優參數組合為vc=120mmin、fz=0.04mmz、ap=10mm、ae=1mm。

4、實驗驗證
為對銑削力預測模型準確性及兩種參數優化方法有效性進行評估,需展開實驗驗證。基于GRA進行優化時,得到的最優參數組合為vc=60mmin、fz=0.04mmz、ap=10mm、ae=1mm,經實驗驗證可知,銑削力F實驗值為196.573N,材料去除率MRR為5092.96mm3min,而此時的銑削力F預測值為196.636N,預測值與實驗值之間的相對誤差為0.3%。當采用PSO進行參數優化時,最優參數組合為vc=120mmin、fz=0.04mmz、ap=10mm、ae=1mm,此時銑削力實驗值F=147.121N,材料去除率MRR=10185.92mm3min,銑削力的預測值F=148.984N,相對誤差為1.3%。驗證實驗的預測值與實驗值之間的相對誤差均低于2%,說明預測模型比較準確與實用。
在實驗驗證的基礎上,可以看出,基于PSO進行優化得到的銑削力更小,材料去除率更大,因此,與GRA優化相比,PSO優化效果更好。
5、結論
(1)采用正交實驗方法設計鈦合金TC4薄壁件銑削實驗,通過極差分析得知銑削速度vc對銑削合力F的影響呈負相關,每齒進給量fz、銑削深度ap和銑削寬度ae對F的影響均呈正相關,且銑削參數對F影響的顯著性由大到小的順序為:銑削深度ap>每齒進給量fz>銑削寬度ae>銑削速度vc。
(2)通過極差分析,得出每齒進給量fz、銑削深度ap和銑削寬度ae對材料去除率MRR的影響均呈正相關;對于銑削速度vc,材料去除率MRR先隨其增大而減小,后隨其增大而增大。銑削參數對材料去除率MRR影響的顯著性由大到小的順序為銑削寬度ae>銑削深度ap>每齒進給量fz>銑削速度vc。
(3)利用Python對實驗數據進行回歸分析,得到銑削力與銑削參數之間的關系的數學模型,ANOVA分析結果表明,F=178.721遠大于臨界值Fα(13,2)=19.419,并且平均誤差為3.75%,最大誤差低于11%,說明銑削力預測模型顯著。
(4)采用灰色關聯分析法與粒子群優化算法分別進行銑削參數優化,相比之下,粒子群優化算法得到的參數組合vc=120mmin、fz=0.04mmz、ap=10mm、ae=1mm,其銑削力更小、材料去除率更大,因此,粒子群算法優化效果更好。
參考文獻:
[1] Tan Liang, Yao Chang-feng, Ren Jun-xue, et al. Ef‐ fect of cutter path orientations on cutting forces, tool wear, and surface integrity when ball end milling TC17 [J]. The International Journal of Advanced Manufactur‐ ing Technology, 2017, 88(9-12): 2589-2602.
[2] 張翔宇, 路正惠, 彭振龍, 等 . 鈦合金的高質高效超聲 振動切削加工[J]. 機械工程學報, 2021, 57(5): 133-147. Zhang Xiang-yu, Lu Zheng-hui, Peng Zhen-long, et al. High quality and efficient ultrasonic vibration cut‐ ting of titanium alloys[J]. Journal of Mechanical Engi‐ neering, 2021, 57(5): 133-147.
[3] Li J, Yang X, Ren C, et al. Multiobjective optimiza‐ tion of cutting parameters in Ti-6Al-4V milling pro‐ cess using nondominated sorting genetic algorithm-II [J]. The International Journal of Advanced Manufac‐ turing Technology, 2015, 76: 941-953.
[4] Serra R, Chibane H, Duchosal A. Multi-objective optimization of cutting parameters for turning AISI 52100 hardened steel[J]. International Journal of Ad‐ vanced Manufacturing Technology, 2018, 99(5-8): 2025-2034.
[5] Zhu Li-da, Yang Zhi-chao, Li Zhao-bin. Investiga‐ tion of mechanics and machinability of titanium alloy thin-walled parts by CBN grinding head[J]. The In‐ ternational Journal of Advanced Manufacturing Tech‐ nology, 2019, 100(9-12): 2537-2555.
[6] Wu D, Wang H, Zhang K, et al. Research on forma‐ tion mechanism and optimization method of surface waviness of TC4 blisk blade[J]. Journal of Manufac‐ turing Processes, 2019, 39: 305-326.
[7] Shen X, Zhang D, Yao C, et al. Formation mecha‐ nism of surface metamorphic layer and influence rule on milling TC17 titanium alloy[J]. The International Journal of Advanced Manufacturing Technology, 2021, 112(7,8): 2259-2276.
[8] Ngoc Chien Vu, Shyh Chour Huang, Huu That Nguyen. Multi-objective optimization of surface rough‐ ness and cutting forces in hard milling using taguchi and response surface methodology[J]. Key Engineer‐ ing Materials, 2018, 773: 220-224.
[9] Karkalos N E, Galanis N I, Markopoulos A P. Sur‐ face roughness prediction for the milling of Ti6Al4V ELI alloy with the use of statistical and soft computing techniques[J]. Measurement, 2016, 90: 25-35.
[10] 易茜, 李聰波, 潘建, 等 . 薄板類零件加工精度可靠 性 分 析 及 工 藝 參 數 優 化[J]. 中 國 機 械 工 程, 2022, 33(11): 1269-1277.
Yi Qian, Li Cong-bo, Pan Jian, et al. Reliability analysis of machining accuracy and processing parame‐ ter optimization for thin-plate parts[J]. China Mechan‐ ical Engineering, 2022, 33(11): 1269-1277.
[11] Monir K O, Samy E A A. Optimization of cutting conditions using regression and genetic algorithm in end milling[J]. International Journal of Engineering Research in Africa, 2016, 20: 12-18.
[12] Venkatesh M, Suresh K R N. Optimization of mill‐ ing operations using artificial neural networks (ANN) and simulated annealing algorithm (SAA) [J]. Materi‐ als Today: Proceedings, 2018, 5(2): 4971-4985.
[13] Djordje V, Katica S, Zeljko K, et al. Multi-objec‐ tive optimization of steel AISI 1040 dry turning using genetic algorithm[J]. Neural Computing & Applica‐ tions, 2021, 33(19): 12445-12475.
[14] Eskandari B, Davoodi B, Ghorbani H. Multi-objec‐ tive optimization of parameters in turning of N-155 iron-nickel-base superalloy using gray relational anal‐ ysis[J]. Journal of the Brazilian Society of Mechanical Sciences and Engineering, 2018, 40(4): No. 233.
[15] Maiyar L M, Ramanujam R, Venkatesan K, et al. Optimization of machining parameters for end milling of inconel 718 super alloy using taguchi based grey re‐ lational analysis[J]. Procedia Engineering, 2013, 64: 1276-1282. [16] Ic Y T, Yildirim S. MOORA-based taguchi optimis‐ ation for improving product or process quality[J]. In‐ ternational Journal of Production Research, 2013, 51 (11): 3321-3341.
[17] 魏子茹, 盧延輝, 王鵬宇, 等 . 基于 CRITIC 法的灰 色關聯理論在無人駕駛車輛測試評價中的應用[J].機械工程學報, 2021, 57(12): 99-108.
Wei Zi-ru, Lu Yan-hui, Wang Peng-yu, et al. Ap‐ plication of grey correlation theory based on CRITIC method in autonomous vehicles test and evaluation [J]. Journal of Mechanical Engineering, 2021, 57(12): 99-108.
[18] 曾念寅, 宋丹丹, 李寒, 等 . 改進鯨魚優化算法及渦輪 盤結構優化[J]. 機械工程學報, 2021, 57(20): 254-265.
Zeng Nian-yin, Song Dan-dan, Li Han, et al. Im‐ proved whale optimization algorithm and turbine disk structure optimization[J]. Journal of Mechanical Engi‐ neering, 2021, 57(20): 254-265.
[19] 易茜, 柳淳, 李聰波, 等 . 基于小樣本數據驅動的滾 齒 工 藝 參 數 低 碳 優 化 決 策 方 法[J]. 中 國 機 械 工 程, 2022, 33(13): 1604-1612.
Yi Qian, Liu Chun, Li Cong-bo, et al. A low carbon optimization decision method for gear hobbing process parameters driven by small sample data[J]. China Me‐ chanical Engineering, 2022, 33(13): 1604-1612.
[20] 衛星馳, 趙嫚, 楊青平, 等 . 考慮工件變形的五軸側 銑 薄 壁 件 銑 削 力 建 模 [J]. 機 械 工 程 學 報 , 2022, 58(7): 317-324. Wei Xing-chi, Zhao Man, Yang Qing-ping, et al. Milling force modeling of thin-walled parts with 5-Axis flank milling considering workpiece deformation [J]. Journal of Mechanical Engineering, 2022, 58(7): 317-324.
[21] 于繁華, 劉仁云, 張義民, 等 . 機械零部件動態可靠 性穩健優化設計的群智能算法[J]. 吉林大學學報:工 學版, 2017, 47(6): 1903-1908. Yu Fan-hua, Liu Ren-yun, Zhang Yi-min, et al. Swarm intelligence algorithm of dynamic reliabilitybased robust optimization design of mechanic compo‐ nents[J]. Journal of Jilin University(Engineering and Technology Edition), 2017, 47(6): 1903-1908.
[22] 張禹, 鹿浩, 呂董, 等 . 基于 IMOFA 的航空發動機 管 路 多 目 標 優 化 布 局[J]. 東 北 大 學 學 報:自 然 科 學 版, 2022, 43(8): 1120-1126. Zhang Yu, Lu Hao, Lyu Dong, et al. Multi-objec‐ tive optimization layout of aero-engine pipe routing based on IMOFA[J]. Journal of Northeastern Univer‐ sity(Natural Science), 2022, 43(8): 1120-1126.
[23] 陳 昭 明,鄒 勁 松,王 偉,等 . 改 進 粒 子 群 神 經 網 絡 融 合有限元分析的鑄鍛雙控動態成型多目標優化[J].吉林大學學報:工學版, 2022, 52(7): 1524-1533.
Chen Zhao-ming, Zou Jin-song, Wang Wei, et al. Multi-objective optimization of casting-forging dy‐ namic forming based on improved particle swarm neu‐ ral network and finite element analysis[J]. Journal of Jilin University(Engineering and Technology Edi‐ tion), 2022, 52(7): 1524-1533.
相關鏈接